格贤人才欢迎您!请
登录
或
免费注册
网站首页
|
手机访问
|
帮助中心
|
保存到桌面
首 页
找工作
招人才
HR工具箱
职场资讯
云端职位
招聘会
更多服务
校园招聘
兼职招聘
门店招聘
红包职位
附近租房
普工招聘
积分商城
企业专访
直通招考
现场招聘会
当前位置:
招考信息
»
事业单位单招
2020黄石大冶市公开招聘统战部政府购买服务工作人员笔试成绩公告
2020-08-18 15:14:03
ABCDE类笔试课程
事业单位备考资料
湖北联考公告汇总
事业单位历年考题
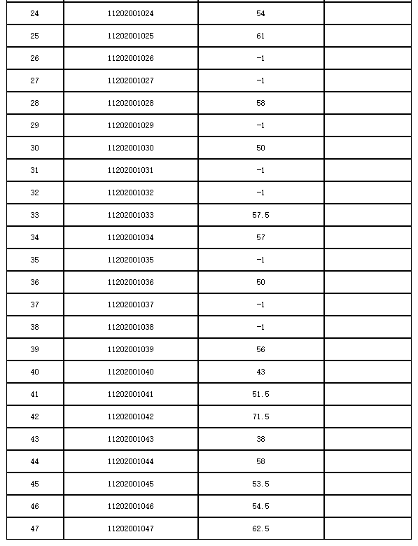
我市统战部公开招聘政府购买服务工作人员笔试已经结束,现将笔试成绩公布如下:
2020黄石大冶市委总值班室选聘事业单位工作人员笔试成绩公告
2020黄石市妇幼保健院8月招聘(医疗医技)若干人公告
企业微信